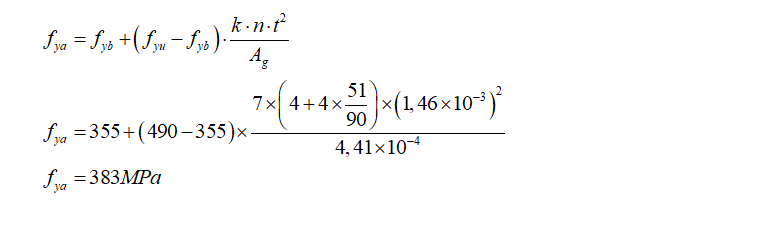
According to EN1993-1-3, formula (3.1), the average yield strength (fya) of a cold-formed member may be calculated as:
Let’s consider the Sigma section below:
In Advance Design 2022, this average yield strength will be used for several verifications, such as the ones where torsion is involved:





