According to EN1993-1-3, formula (10.1b), the shear stiffness of trapezoidal sheeting connected to a purlin may be calculated as :

With:
- t : thickness of sheeting (in mm)
- broof: width of the roof (in mm) (roof dimension parallel to the direction of the panel ribs)
- s: spacing between purlins
- hw: profile depth of sheeting
Assume a purlin connected to the following trapezoidal sheeting, at each rib:
Roof width : 6,00m
Distance between purlins : 2,50m

This result sin a shear stiffness of 8361 kN.
Formula (10.1b) assumes the purlin is connected at each rib to the trapezoidal sheeting :
In case the purlin is not connected at each rib but at every other rib, only a small portion (20%) of this S stiffness can be considered :

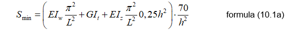
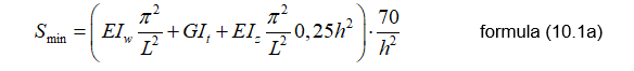
If this value exceeds a certain value (Smin), the purlin may be regarded as laterrally restrained in the plane of the sheeting.

Assume an IPE140 purlin:
Iw = 1980 cm6 (warping constant of the purlin)
It = 2,45 cm4 (torsion constant of the purlin)
Iz = 44,92 cm4 (minor axis inertia of the purlin)
h = 140 mm (height of the purlin)
L = 6,00m (span of the purlin)

The condition is met and the purlin may be regarded as laterally restrained.
In Advanced Design, such a purlin may have its ‘Continuous restraint along flange’ property enabled on the upper flange :
For more complex cases, when the member is prone to torsional effects (Channel or Z section for example), a more sophisticated calculation may be required (2nd order calculation with warping).
In this case, the shear stiffness (S) may be taken into account as the ‘Shear field’ parameter from the ‘Advanced stability’ dialog :






